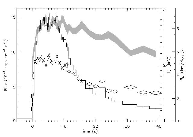
| ID | 25 | 
  | ObsID | 40034-01-09-05 | 
  | UT | 2000 Feb  7 15:13:29 | 
  | MJD | 51581.634380 | 
  | flag1 |  | 
 

Time-resolved spectral parameters for burst # 25 of 4U 1705-44, observed on 2000 Feb  7 15:13:29.
The histogram in each panel shows the (bolometric) burst flux (left-hand
y-axis) in units of 10-9 ergs cm-2 s-1,
with error bars indicating the 1-sigma
uncertainties. The gray ribbon shows the 1-sigma limits of the blackbody
radius (outer right-hand y-axis) in km2/d10 kpc. The
diamonds show the 1-sigma
error region for the blackbody temperature (inner right-hand y-axis) in keV.
 
Flag values indicates a range of potential analysis issues, as follows:
- The burst was observed during a slew, and thus offsetfrom the source position.
- The observation was offset from the source position. In cases (a) and (b) we scaled the flux and fluence by the mean
collimator response appropriate for the position of the source in the field of view, as described in Appendix B.
- The origin of the burst is uncertain; the burst may have been from another source in the field of view (we rescaled the flux and fluence, if necessary, based on the assumed origin).
- Buffer overruns (or some other instrumental effect) caused gaps in the high time resolution data.
- The burst was so faint that only the peak flux could be measured, and not the fluence or other parameters.
- An extremely faint burst or possibly problems with the background subtraction, resulting in no fit results.
- The full burst profile was not observed, so that the event can be considered an unconfirmed burst candidate. Typically in these cases the initial burst rise is missed, so that the measured peak flux and fluence are lower limits only.
- High time resolution data modes did not cover the burst.